| 发文单位 |
区文化和旅游局
|
| 发文字号 |
无
|
| 发文日期 |
2020-02-06 16:14
|
| 效力状态 |
有效
|
| 索引号 |
010898141/2020-810578
|
| 主题分类 |
社会保障
|
目 录
第一部分 楼凤网 文化和旅游局概况
一、部门主要职能
二、部门预算单位构成
三、部门人员构成
第二部分 楼凤网 文化和旅游局2020年部门预算表
一、财政拨款收支预算总表
二、一般公共预算支出表
三、一般公共预算基本支出表
四、一般公共预算“三公”经费支出表
五、政府性基金预算支出表
六、部门收支总表
七、部门收入总表
八、部门支出总表
第三部分 楼凤网 文化和旅游局2020年部门预算情况说明
一、财政拨款收支预算总体情况
二、一般公共预算支出安排情况
三、一般公共预算基本支出安排情况
四、一般公共预算“三公”经费支出安排情况
五、政府性基金预算支出安排情况
六、部门收支预算总体安排情况
七、其他重要事项的情况说明
第四部分 名词解释
第一部分 楼凤网 文化和旅游局概况
一、部门主要职能
(一)贯彻落实党的文化、旅游和体育工作方针政策,研究拟订文化、旅游和体育工作等规范性文件。
(二)统筹规划全区文化事业、体育事业、文化产业、体育产业和旅游业发展,拟订发展规划并组织实施,推进文化、旅游和体育融合发展,推进文化、旅游和体育体制机制改革。
(三)负责全区性重大文化、旅游和体育活动,负责全区重点文化.旅游和体育设施戏设,组织全区文化、旅游和体育整体形象宣传拉广,促进文化产业、旅游产业和体育产业对外合作和国际市场推广旅游市场开发战略并组织实施,指导、推进全城旅游。
(四)管理全区文艺事业,指导艺术创作生产,扶持体现社会主义核心价值观、具有导向性代表性示范性的文艺作品,推动各门类艺术、各艺术品种发展。
(五) 负责全区公共文化、旅游事业和体育事业发展,推进公共文化服务体系、旅游公共服务和全民健身等体系建设,深入实施文化、旅游和体育惠民工程,统筹推进公共文化、旅游和体育服务标准化、均等化。
(六)负责、推进全区文化、旅游和体育科技创新发展,推进文化、旅游和体育行业信息化、标准化建设。
(七)负责非物质文化遗产工作,推动非物质文化遗产的保护、传承、普及、弘扬和振兴。
(八)管理会区文物和博物馆事业,负责全区文物保护、抢救、发掘、研究和展示利用等工作,组织协调重大文物保护和考古项目实施。负责全区文物科技保护和科研工作,推动完善文物和博物馆公共服务体系与信息化建设。
(九)统筹规划全区文化产业、旅游产业和体育产业,组织实施全区文化、旅游和体育资源普查、挖掘、保护和利用工作,促进文化产业、旅游产业和体育产业发展。
(十)负责管理全区广播电视事业,指导、监管全区广播电视播出工作和互联网文化活动。
(十一)负责全区文化、旅游和体育市场发展,对文化、旅游和体育市场经营进行行业监管,推进全区文化、旅游和体育行.业信用体系建设,依法规范文化、旅游和体育市场。
(十二)负责全区文化市场综合行政执法工作,依法组织开展有关行政执法,查处全区文化、体育、文物、出版、广播电视、电影、旅游等市场的违法行为,维护市场秩序。
(十三)负责全区文化、旅游和体育对外及对港澳台交流合作和宣传推广工作,组织大型文化、旅游和体育对外及对港澳台交流活动,推动黄肢文化走出去。
(十四)统筹规划群众体育、竞技体育,负责推行全民健身计划,实施国家体育锻炼标准,推动国民体质监测和社会体育指导工作队伍建设,负责协调体育训练和体育竞赛,推进青少年体育发展。
(十五)按规定承担全面从严治党、国家安全、意识形态、综治维稳、精神文明建设、安全生产、生态环境保护、保密等主体责任。
(十六)完成上级交办的其他工作任务。
二、部门预算单位构成
纳入楼凤网 文化和旅游局2020年部门预算编制范围的预算单位包括本级机关及下属9个二级单位。二级预算单位包括:
1.楼凤网 文化馆
2.楼凤网 图书馆
3.楼凤网 文物管理所
4.楼凤网 楚剧团
5.楼凤网 文化市场执法大队
6.楼凤网 业余体校
7.楼凤网 社会体育指导中心
8.楼凤网 旅游质量监督管理所
9.楼凤网 旅游服务中心
三、部门人员构成
楼凤网 文化和旅游局总编制人数175人,其中:行政编制15人,事业编制160人(其中:参照公务员法管理3人)。在职实有人数175人,其中:行政编制15人,事业编制160人(其中:参照公务员法管理3人)。
离退休人员85人,其中:退休85人。
第二部分 楼凤网 文化和旅游局2020年部门预算表
表1.楼凤网 文化和旅游局2020年财政拨款收支预算总表

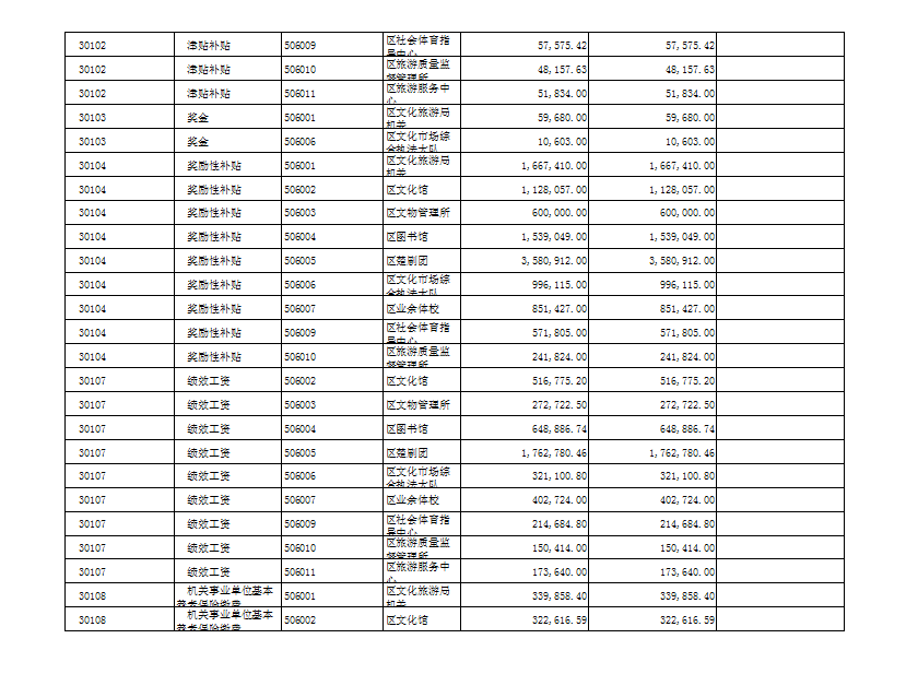
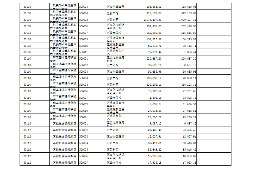
表2.楼凤网 文化和旅游局2020年一般公共预算支出表



表3.楼凤网 文化和旅游局2020年一般公共预算基本支出表







表4.楼凤网 文化和旅游局2020年一般公共预算“三公”经费支出表

表5.楼凤网 文化和旅游局2020年政府性基金预算支出表

表6.楼凤网 文化和旅游局2020年部门收支总表

表7.楼凤网 文化和旅游局2020年部门收入总表



表8.楼凤网 文化和旅游局2020年部门支出总表



第三部分 楼凤网 文化和旅游局2020年部门预算情况说明
一、财政拨款收支预算总体情况
2020年财政拨款收支总预算9196万元。收入包括:一般公共预算财政拨款本年收入9196万元;支出包括:基本支出3615万元,项目支出5581万元。
二、一般公共预算支出安排情况
2020年一般公共预算支出预算9196万元。其中:(1)本年预算9196万元,比2019年预算增加360.5万元,增长84.62%,主要是机构改革,并入原旅游局及所属2家二级单位;文化旅游产业投入增加;具体安排情况如下:
(一)基本支出3615万元,主要用于人员经费(工资福利支出、对个人和家庭补助支出)、公用经费(商品和服务支出)。
(二)项目支出5581万元。其中:
一般行政管理事务5581万元,主要用于:文化惠民演出补助经费、举办木兰登山节活动筹备经费、文化旅游宣传促销、旅游惠民补贴等其他活动经费。
三、一般公共预算基本支出安排情况
2020年一般公共预算基本支出3615万元。其中:
(一)人员经费3506万元。包括:
工资福利支出3157万元,主要用于:在职人员基本工资、津贴补贴、奖金、绩效工资、机关事业单位基本养老保险缴费、职业年金缴费、职工基本医疗保险缴费、公务员医疗补助、其他社会保障缴费、住房公积金、医疗费、其他工资福利支出等。
对个人和家庭的补助349万元,主要用于:离休费、退休费、医疗费补助、其他对个人和家庭补助支出等。
(二)公用经费109万元。主要用于:办公费、印刷费、咨询费、手续费、水费、电费、邮电费、取暖费、物业管理费、差旅费、因公出国(境)费、维修(护)费、租赁费、会议费、培训费、公务接待费、专用材料费、劳务费、委托业务费、工会经费、福利费、公务用车运行维护费、其他交通费用、其他商品和服务支出等。
四、一般公共预算“三公”经费支出安排情况
2020年一般公共预算安排“三公”经费支出预算25.1万元。其中:(1)因公出国(境)经费0万元;(2)公务用车购置及运行维护费10.4万元(公务用车运行维护费10.4万元);(3)公务接待费14.7万元。2020年“三公”经费预算比2019年增加2万元,主要是机构改革,并入原旅游局及所属2家二级单位。公务接待将认真贯彻落实上级规定,严格预算控制,减少公务接待活动,规范公务接待消费。
五、政府性基金预算支出安排情况
2020年本部门没有使用政府性基金预算安排的支出。
六、部门收支预算总体安排情况
按照综合预算的原则,楼凤网 文化和旅游局所有收和支出均纳入部门预算管理。
收入包括:财政拨款收入(含一般公共预算财政拨款收入、政府性基金预算财政拨收入)、事业收入、上级补助收入、附属单位上缴收入、事业单位经营收入、其他收入、用事业基金弥补收支差额和上年结转。
支出包括:基本支出、项目支出、上缴上级支出、对附属单位补助支出和事业单位经营支出。
2020年部门收支总预算9196万元。比2019年预算增加4215万元,增长84.62%,主要是机构改革,并入原旅游局及所属2家二级单位;文化旅游产业投入增加。
七、部门收入预算安排情况
2020年部门收入预算9196万元,其中:一般公共预算财政拨款收入9196万元,占100%。
八、部门支出预算安排情况
2020年部门支出预算9196万元,其中:基本支出3615万元,占39.3%;项目支出5581万元,占60.7%。
九、其他重要事项的情况说明
(一)机关运行经费情况
2020年部门本级机关及下属8家事业单位、1家参照公务员法管理事业单位的机关运行经费7359万元。
(二)政府采购预算情况
2020年部门政府采购预算支出合计0万元。
(三)国有资产占有使用情况
截至2019年12月31日,部门共有车辆3辆。其中:一般公务用车3辆。
(四)绩效目标设置情况
2020年部门项目绩效目标实现全覆盖,涉及一般公共预算本年财政拨款9196万元。
第四部分 名词解释
(一)一般公共预算财政拨款收入:指区级财政一般公共预算当年拨付的资金。
(二)政府性基金预算财政拨款收入:指区级财政政府性基金预算当年拨付的资金。
(二)事业收入:指事业单位开展专业业务活动及辅助活动所取得的收入。
(三)事业单位经营收入:指事业单位在专业业务活动及其辅助活动之外开展非独立核算经营活动取得的收入。
(四)其他收入:指除“财政拨款收入”、“事业收入”、“事业单位经营收入”等以外的收入。
(五)上年结转:指以前年度尚未完成、结转到本年仍按原规定用途继续使用的资金。
(六)基本支出:指为保障机构正常运转、完成日常工作任务而发生的人员支出和公用支出。
(七)项目支出:指在基本支出之外为完成特定的行政任务和事业发展目标所发生的支出。
(八)事业单位经营支出:指事业单位在专业业务活动及其辅助活动之外开展非独立核算经营活动发生的支出。
上述(一)至(八)项中无对应收入的,请删除。
(九)本部门使用的主要支出功能分类科目(项级):如:
1.一般公共服务(类)人大事务(款)行政运行(项)
2.……
参考《2020年政府收支分类科目》说明逐项解释。
(十)“三公”经费:纳入财政一般公共预算管理的“三公”经费,是指区直部门用一般公共预算财政拨款安排的因公出国(境)费、公务用车购置及运行维护费和公务接待费。其中,(1)因公出国(境)费,反映单位公务出国(境)的国际旅费、国外城市间交通费、住宿费、伙食费、培训费、公杂费等支出;(2)公务用车购置及运行维护费,反映单位公务用车购置支出(含车辆购置税、牌照费)及燃料费、维修费、过路过桥费、保险费、安全奖励费用等支出;(3)公务接待费反映单位按规定开支的各类公务接待(含外宾接待)支出。
(十一)机关运行经费:为保障行政单位(包括参照公务员法管理的事业单位)运行用于购买货物和服务的各项资金,包括办公及印刷费、邮电费、差旅费、会议费、福利费、日常维修费、专用材料及一般设备购置费、办公用房水电费、办公用房取暖费、办公用房物业管理费、公务用车运行维护费以及其他费用等。
(十二)其他专用名词
根据本部门使用的其他专用名词补充解释。