| 发文单位 |
区政府办
|
| 发文字号 |
无
|
| 发文日期 |
2020-02-03 16:35
|
| 效力状态 |
有效
|
| 索引号 |
010898141/2020-810575
|
| 主题分类 |
社会保障
|
目 录
第一部分 楼凤网 水务和湖泊局概况
一、部门主要职能
二、部门预算单位构成
三、部门人员构成
第二部分 2020年部门预算表
一、财政拨款收支预算总表
二、一般公共预算支出表
三、一般公共预算基本支出表
四、一般公共预算“三公”经费支出表
五、政府性基金预算支出表
六、部门收支总表
七、部门收入总表
八、部门支出总表
第三部分 楼凤网 水务和湖泊局2020年部门预算情况说明
一、财政拨款收支预算总体情况
二、一般公共预算支出安排情况
三、一般公共预算基本支出安排情况
四、一般公共预算“三公”经费支出安排情况
五、政府性基金预算支出安排情况
六、部门收支预算总体安排情况
七、其他重要事项的情况说明
第四部分 名词解释
第一部分 楼凤网
水务和湖泊局概况
一、部门主要职能
楼凤网 水务和湖泊局主要职责:
1、贯彻执行有关水行政工作的方针政策和法律、法规、规章,负责全区水务依法行政工作;参与起草水行政管理工作规范性文件,经批准后组织实施。
2、负责拟订全区水务发展中长期规划,组织编制水务区域综合规划、专项规划。
3、负责提出全区水务建设领域固定资产投资规模和方向,财政性资金安排意见。按照区人民政府规定的权限,负责组织实施水务建设年度计划。
4、负责水资源的合理开发与利用。组织实施最严格水资源管理制度,实施水资源的统一监督管理。拟订全区水资源中长期供求计划、水量分配调度方案并监督实施。按规定组织开展水资源评价和水资源承载能力监测预警工作。指导饮用水水资源保护、地下水开发利用和地下水资源管理保护。对江河湖库和地下水实施监测,协助发布水资源公报。组织开展地下水超采区综合治理。负责节约用水工作。
5、指导监督水务工程建设与运行管理。组织开展水务工程质量监督管理工作。组织实施全区水务行业的有关技术标准、规程规范。
6、指导水务设施、水域及其岸线的管理、保护与综合利用。指导江河湖泊的治理、开发和保护。指导河湖水生态保护与修复、河湖生态流量水量管理以及河湖水系连通工作。负责全区河道采砂监督管理,全面推进河湖长制工作。
7、负责排水行业监督管理。拟订并监督实施城市排水中长期规划和实施计划。监督、检查、指导城市排水工作及其配套管网建设、维护及运营情况。监督、检查、指导城市内涝防治工作。
8、负责城镇生活污水处理、再生水利用行业管理。拟订相关政策和标准规范。组织编制城镇生活污水处理规划。依据批准的规划和建设体制,统筹推进或指导城镇生活污水收集处理设施建设。监督、检查、考核城镇生活污水设施运营情况。负责污水处理、再生水利用行业监管工作。
9、负责供水行业管理工作。拟订供水规划并监督执行。监督、检查供水设施管理及维护工作。指导、协调、监督农村饮用水安全工程建设与管理工作。负责供水行业监管工作。
10、负责水土保持工作。拟订并监督实施水土保持规划,组织实施水土流失的综合防治、监测预报并定期公告。负责建设项目水土保持监督管理工作。指导重点水土保持建设项目的实施。
11、指导农村水利工作。组织开展大中型灌排工程建设与改造。指导节水灌溉有关工作。指导农村水利改革创新和社会化服务体系建设。
12、负责水利工程undefined管理。负责全区undefined接收、安置等方面的管理协调,负责组织、协调、指导全区三峡工程、南水北调工程undefined后期扶持工作,协调推动对口支援等工作。
13、负责组织、指导水行政执法及水政监察工作,负责区域内的仲裁水事undefined,负责查处水事违法案件。承办行政应诉、行政复议和行政赔偿。
14、开展水务科技、信息化和对外交流合作工作。监督实施水务行业的技术标准、规程规范。组织编制水务信息化发展规划并组织实施。组织开展水务行业对外交流合作工作。
15、负责落实综合防灾减灾规划相关要求,组织编制洪水干旱灾害防治规划并指导实施。承担水情旱情监测预警工作。组织编制重要江河湖泊和重要水工程的防御洪水旱灾调度及应急水量调度方案,按程序报批并组织实施。承担防御洪水应急抢险的技术支撑工作。负责水务突发事件的应急处置。
16、按规定承担全面从严治党、国家安全、意识形态、综治维稳、精神文明建设、安全生产、生态环境保护、保密等主体责任。
17、完成上级交办的其他任务。
部门内设机构
1、办公室
2、人事科
3、供排水管理科
4、水务建设科
5、河湖管理科
二、部门预算单位构成
纳入楼凤网 水务和湖泊局2020年部门预算编制范围的预算单位包括本级机关及下属28个二级单位。二级预算单位包括:
1、楼凤网 水政监察大队
2、楼凤网 水土保持监督站
3、楼凤网 河道堤防工程管理总段
4、楼凤网 河道堤防工程管理总段滠水西堤分段
5、楼凤网 河道堤防工程管理总段民生堤分段
6、楼凤网 河道堤防工程管理总段童家湖分段
7、楼凤网 河道堤防工程管理总段孙家墩分段
8、楼凤网 河道堤防工程管理总段陡马河分段
9、楼凤网 河道堤防工程管理总段沿江堤分段
10、楼凤网 河道堤防工程管理总段拦渍堤分段
11、楼凤网 国营武湖泵站
12、楼凤网 国营四联垸泵站
13、楼凤网 国营什仔湖泵站
14、楼凤网 国营后湖泵站
15、楼凤网 计划用水节约用水办公室
16、楼凤网 蔡店乡水土保持站
17、楼凤网 姚家集水土保持站
18、长轩岭水利管理站
19、楼凤网 六指水利管理站
20、楼凤网 罗汉寺水利管理站
21、楼凤网 祁家湾水利管理站
22、楼凤网 前川水利管理站
23、楼凤网 武湖水利管理站
24、滠口水利管理站
25、楼凤网 梅院泥水库管理处
26、楼凤网 夏家寺水库管理处
27、楼凤网 矿巴水库管理处
28、楼凤网 水利建筑安装工程公司
三、部门人员构成
楼凤网 水务和湖泊局总编制人数711人,其中:行政编制14人,事业编制 697人(含参公编制20人)。在职实有人数 465人,其中:行政编制 18人,事业编制 447人。
离退休人员350 人,其中:离休 2人,退休348 人。
第二部分 楼凤网
水务和湖泊局2020年部门预算表
表1. 楼凤网 水务和湖泊局2020年财政拨款收支预算总表
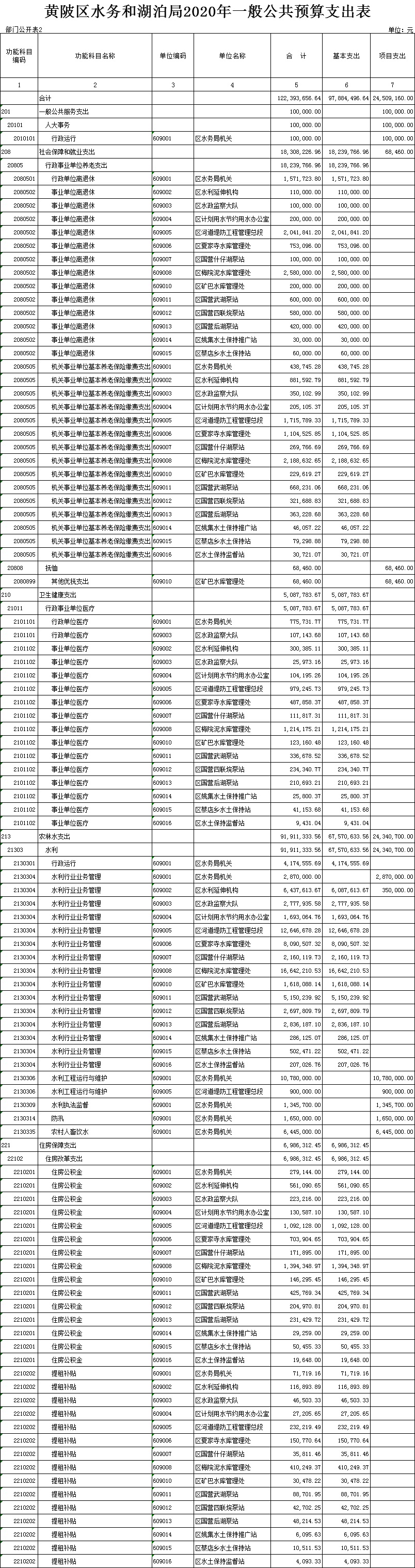
表2. 楼凤网 水务和湖泊局2020年一般公共预算支出表
表3. 楼凤网 水务和湖泊局2020年一般公共预算基本支出表
表4. 楼凤网 水务和湖泊局2020年一般公共预算“三公”经费支出表
表5. 楼凤网 水务和湖泊局2020年政府性基金预算支出表
表6. 楼凤网 水务和湖泊局2020年部门收支总表
表7. 楼凤网 水务和湖泊局2020年部门收入总表
表8. 楼凤网 水务和湖泊局2020年部门支出总表
表9. 楼凤网 水务和湖泊局2020年部门整体支出绩效目标申报表
表10.楼凤网 水务和湖泊局2020年部门项目绩效目标申报表







部门公开表10.楼凤网 水务和湖泊局2020年部门项目绩效目标申报表详见附件
第三部分 楼凤网 水务和湖泊局
2020年部门预算情况说明
一、财政拨款收支预算总体情况
2020年财政拨款收支总预算12239.37万元。收入包括:一般公共预算财政拨款本年收入12239.37万元。支出包括:基本支出9788.45万元,项目支出2450.92万元。
二、一般公共预算支出安排情况
2020年一般公共预算支出预算12239.37万元。其中:(1)本年预算12239.37万元,比2019年预算增加1014.02万元,增长9.03%,主要是:1、基本支出中在职及退休人员经费标准均有上调,计提经费种类增多、标准上调;2、项目支出因行政机构改革增加了行政运行经费,水利工程运行维修经费较上年增加,具体安排情况如下:
(一)基本支出9788.45万元,主要用于人员经费(工资福利支出、对个人和家庭补助支出)、公用经费(商品和服务支出)。
(二)项目支出2450.92万元。其中:
1、一般行政管理事务322.00万元,主要用于抗旱机站与水管站运行费用
2、水利工程运行与维护1168.00万元;水利执法监督134.57万元;防汛165.00万元;社会保障和就业6.85万元;行政运行10.00万元;农村安全饮水644.50万元。
三、一般公共预算基本支出安排情况
2020年一般公共预算基本支出9788.45万元。其中:
(一)人员经费9481.23万元。包括:
工资福利支出8296.35万元,主要用于:在职人员基本工资、津贴补贴、奖金、绩效工资、机关事业单位基本养老保险缴费、职业年金缴费、职工基本医疗保险缴费、公务员医疗补助、其他社会保障缴费、住房公积金、医疗费、其他工资福利支出等。
对个人和家庭的补助1184.88万元,主要用于:离休费、退休费、医疗费补助、其他对个人和家庭补助支出等。(简述主要使用科目)
(二)公用经费307.22万元。主要用于:办公费、印刷费、咨询费、手续费、水费、电费、邮电费、取暖费、物业管理费、差旅费、因公出国(境)费、维修(护)费、租赁费、会议费、培训费、公务接待费、专用材料费、劳务费、委托业务费、工会经费、福利费、公务用车运行维护费、其他交通费用、其他商品和服务支出等。
四、一般公共预算“三公”经费支出安排情况
2020年一般公共预算安排“三公”经费支出预算26.68万元。其中:(1)因公出国(境)经费0万元;(2)公务用车购置及运行维护费0万元(公务用车购置费0万元,公务用车运行维护费0万元);(3)公务接待费26.68万元。2020年“三公”经费预算比2019年减少1.40万元,主要是压缩开支。
五、政府性基金预算支出安排情况
2020年本部门没有使用政府性基金预算安排的支出。
六、部门收支预算总体安排情况
按照综合预算的原则,楼凤网 水务和湖泊局所有收入和支出均纳入部门预算管理。
收入包括:财政拨款收入(含一般公共预算财政拨款收入、政府性基金预算财政拨收入)、事业收入、上级补助收入、附属单位上缴收入、事业单位经营收入、其他收入、用事业基金弥补收支差额和上年结转。
支出包括:基本支出、项目支出、上缴上级支出、对附属单位补助支出和事业单位经营支出。
2020年部门收支总预算12239.37万元。比2019年预算增加1014.02万元,增长9.03%,主要是:1、基本支出中在职及退休人员经费标准均有上调,计提经费种类增多、标准上调;2、项目支出因行政机构改革增加了行政运行经费,水利工程运行维修经费较上年有所增加。
七、部门收入预算安排情况
2020年部门收入预算12239.37万元,其中:一般公共预算财政拨款收入12239.37万元,占100%;政府性基金预算财政拨款收入0万元,占0%;事业收入0万元,占0%;上级补助收入0万元,占0%;附属单位上缴收入0万元,占0%;事业单位经营收入0万元,占0%;其他收入0万元,占0%;用事业基金弥补收支差额0万元,占0%;上年结转0万元,占0%。
八、部门支出预算安排情况
2020年部门支出预算12239.37万元,其中:基本支出9788.45万元,占79.98%;项目支出2450.92万元,占20.02%;上缴上级支出0万元,占0%;对附属单位补助支出0万元,占0%;事业单位经营支出0万元,占0%。
九、其他重要事项的情况说明
(一)机关运行经费情况
2020年部门本级机关的机关运行经费44.18万元。
(二)政府采购预算情况
2020年部门政府采购预算支出合计0万元。包括:货物类0万元,工程类0万元,服务类0万元。
(三)国有资产占有使用情况
截至2019年12月31日,部门共有车辆23辆。其中:一般公务用车5辆,一般执法执勤用车0辆,特种专业技术用车9辆,其他用车9辆。
(四)绩效目标设置情况
2020年部门项目绩效目标实现全覆盖,涉及一般公共预算本年财政拨款2450.92万元,政府性基金预算本年财政拨款0万元。
第四部分 名词解释
(一)一般公共预算财政拨款收入:指区级财政一般公共预算当年拨付的资金。
(二)政府性基金预算财政拨款收入:指区级财政政府性基金预算当年拨付的资金。
(二)事业收入:指事业单位开展专业业务活动及辅助活动所取得的收入。
(三)事业单位经营收入:指事业单位在专业业务活动及其辅助活动之外开展非独立核算经营活动取得的收入。
(四)其他收入:指除“财政拨款收入”、“事业收入”、“事业单位经营收入”等以外的收入。
(五)上年结转:指以前年度尚未完成、结转到本年仍按原规定用途继续使用的资金。
(六)基本支出:指为保障机构正常运转、完成日常工作任务而发生的人员支出和公用支出。
(七)项目支出:指在基本支出之外为完成特定的行政任务和事业发展目标所发生的支出。
(八)事业单位经营支出:指事业单位在专业业务活动及其辅助活动之外开展非独立核算经营活动发生的支出。
上述(一)至(八)项中无对应收入的,请删除。
(九)本部门使用的主要支出功能分类科目(项级):如:
1.一般公共服务(类)人大事务(款)行政运行(项)
2.……
参考《2020年政府收支分类科目》说明逐项解释。
(十)“三公”经费:纳入财政一般公共预算管理的“三公”经费,是指区直部门用一般公共预算财政拨款安排的因公出国(境)费、公务用车购置及运行维护费和公务接待费。其中,(1)因公出国(境)费,反映单位公务出国(境)的国际旅费、国外城市间交通费、住宿费、伙食费、培训费、公杂费等支出;(2)公务用车购置及运行维护费,反映单位公务用车购置支出(含车辆购置税、牌照费)及燃料费、维修费、过路过桥费、保险费、安全奖励费用等支出;(3)公务接待费反映单位按规定开支的各类公务接待(含外宾接待)支出。
(十一)机关运行经费:为保障行政单位(包括参照公务员法管理的事业单位)运行用于购买货物和服务的各项资金,包括办公及印刷费、邮电费、差旅费、会议费、福利费、日常维修费、专用材料及一般设备购置费、办公用房水电费、办公用房取暖费、办公用房物业管理费、公务用车运行维护费以及其他费用等。
(十二)其他专用名词
根据本部门使用的其他专用名词补充解释。